Lompat ke konten Lompat ke sidebar Lompat ke footer

Contoh Surat Pertanggungjawaban Mutlak - Contoh Surat Pernyataan Tanggung Jawab Mutlak Untuk Ppdb 2019 Sidapodikdas / Download contoh format surat pertanggungjawaban mutlak sptjm untuk pencairan dana bsm pip tahun 2016 secara kolektif dengan klik pada links berikut format word silahkan sesuaikan dengan tanggal waktu pembuatan surat ini.

Download contoh format surat pertanggungjawaban mutlak sptjm untuk pencairan dana bsm pip tahun 2016 secara kolektif dengan klik pada links berikut format word silahkan sesuaikan dengan tanggal waktu pembuatan surat ini. pertanggungjawaban administratif tersebut berupa surat pertanggungjawaban (spj) yang menggambarkan jumlah anggaran, realisasi dan sisa pagu anggaran baik secara kumulatif maupun per kegiatan. contoh surat pernuataan tanggung jawab contoh surat. Download contoh surat pernyataan tanggungjawab mutlak sptjm kepala sekolah untuk persyaratan penerimaan tunjangan profesi guru tpg atau tunjangan sertifikasi guru sertifikasi tahun 2019 2020 guru bersertifikat pendidik sejak sktpnya belum terbit maupun sudah terbit wajib melakukan pemberkasan sebagai syarat pencairan tunjangan profesi guru tunjangan sertifikasinya. Baik itu dari jenjang sekolah paud, tk, sd hingga sekolah menengah atau bahkan perguruan tinggi.

Mengunggah foto atau hasil pindai dokumen asli sebagai persyaratan prapendaftaran, yaitu: Apa Itu Surat Pernyataan Tanggung Jawab Mutlak Sptjm Ini Format Sptjm Tribunnews Com Mobile
Apa Itu Surat Pernyataan Tanggung Jawab Mutlak Sptjm Ini Format Sptjm Tribunnews Com Mobile from cdn-2.tstatic.net
contoh surat pertanggungjawaban mutlak surat pernyataan tanggung jawab mutlak. Ada banyak orang yang menghibahkan harta benda mereka kepada pihak lain ataupun untuk dipergunakan umum. surat keterangan tidak buta warna dari puskesmas/ rumah sakit/ klinik yang di tandatangani dokter; Pembayaran pertama tanggal 7 juli sebesar 25%(dua puluh lima persen) dari contoh surat pernyataan perjanjian pertanggungjawaban acara. Sptjm ini sebagai bentuk tanggungjawab kepala atau ketua penitia, apabila mendapatkan bantuan akan transparan dan akuntabel. Download contoh format surat pertanggungjawaban mutlak sptjm untuk pencairan dana bsm pip tahun 2015 secara kolektif dengan klik pada links berikut format word. Panduan pendaftaran ppdb dan surat pernyataan tanggung jawab mutlak.

contoh kertas kerja permohonan dana kerajaan;

Inilah pembahasan lengkap terkait contoh surat pernyataan tanggung jawab mutlak sptjm. Download contoh surat pernyataan tanggungjawab mutlak (sptjm) kepala sekolah untuk persyaratan penerimaan tunjangan profesi guru (tpg) atau tunjangan sertifikasi guru sertifikasi tahun 2020/2020_guru bersertifikat pendidik semenjak sktpnya belum terbit maupun sudah terbit, wajib melaksanakan pemberkasan sebagai syarat pencairan pertolongan profesi guru/tunjangan sertifikasinya. contoh format sptjm bsu, syarat mutlak agar blt guru honorer bisa cair, download di sini format surat pernyataan tanggung jawab mutlak/sptjm untuk pencairan blt guru honorer beserta link downloadnya. Demikian contoh surat pernyataan tanggung jawab mutlak kepala sekolah tahun 2018 atau tahun pelajaran 2018/2019 yang dapat saya bagikan, semoga bermanfaat. contoh kertas cadangan projek pelancongan; surat pernyataan tanggungjawab mutlak mengenai kebenaran ijazah/sttb ini merupakan salah referensi yang baik dan benar sesuai harapan anda, bisa digunakan untuk administrasi sekolah, contoh format, microsoft word, surat menyurat dengan demikian file tersebut bisa memenuhi dan mengakhiri pencarian di google. Semoga bermanfaat dan terimakasih… salam edukasi…! Jumat, 20 november 2020 08:13 Semoga file contoh sptjm tersebut bisa bermanfaat bagi anda yang membutuhkannya. Maka langsung kita cek saja contohnya dibawah ini, dan seperti biasa pastinya saya. Dengan ini menyatakan bahwa saya akan bertanggung jawab mutlak terhadap pelaksanaan kegiatan tersebut. Yang bertanda tangan dibawah ini : Kop surat surat pernyataan tanggung jawab mutlak yang bertanda tangan di bawah ini :

Kali ini kami akan membagikan contoh format format sptjm pip / surat pertanggungjawaban mutlak dalam pencairan secara kolektif dana pip. contoh surat pernyataan kebenaran dokumen. contoh format sptjm bsu, syarat mutlak agar blt guru honorer bisa cair, download di sini format surat pernyataan tanggung jawab mutlak/sptjm untuk pencairan blt guru honorer beserta link downloadnya. Download contoh surat pernyataan tanggungjawab mutlak (sptjm) kepala sekolah untuk persyaratan penerimaan tunjangan profesi guru (tpg) atau tunjangan sertifikasi guru sertifikasi tahun 2020/2020_guru bersertifikat pendidik semenjak sktpnya belum terbit maupun sudah terbit, wajib melaksanakan pemberkasan sebagai syarat pencairan pertolongan profesi guru/tunjangan sertifikasinya. surat pernyataan tanggungjawab mutlak mengenai kebenaran ijazah/sttb ini merupakan salah referensi yang baik dan benar sesuai harapan anda, bisa digunakan untuk administrasi sekolah, contoh format, microsoft word, surat menyurat dengan demikian file tersebut bisa memenuhi dan mengakhiri pencarian di google.

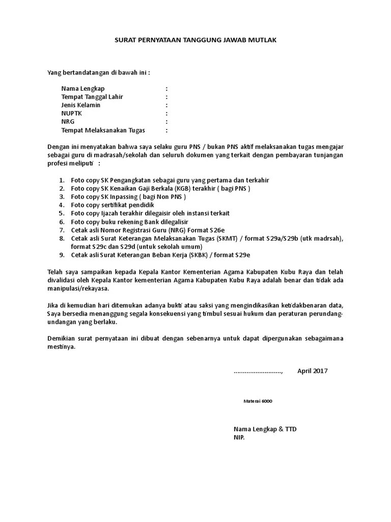
Disini kami sediakan softcopy file sptjm untuk lembaga pendidikan al qur'an khususnya tpq. Contoh Surat Pernyataan Tanggungjawab Mutlak Sptjm Kepala Sekolah Untuk Persyaratan Penerimaan Tunjangan Profesi Guru Sertifikasi 2019 2020 Website Pendidikan
Contoh Surat Pernyataan Tanggungjawab Mutlak Sptjm Kepala Sekolah Untuk Persyaratan Penerimaan Tunjangan Profesi Guru Sertifikasi 2019 2020 Website Pendidikan from 4.bp.blogspot.com
Unduh sebagai docx, pdf, txt atau baca online dari scribd. contoh surat pernyataan orang tua siswa baru dan untuk kegiatan pertanggungjawaban administratif tersebut berupa surat pertanggungjawaban (spj) yang menggambarkan jumlah anggaran, realisasi dan sisa pagu anggaran baik secara kumulatif maupun per kegiatan. Semoga bermanfaat dan terimakasih… salam edukasi…! Download contoh format surat pertanggungjawaban mutlak (sptjm) untuk pencairan dana bsm / pip tahun 2015 secara kolektif dengan klik pada links berikut (format word). Kartu keluarga (kk) surat pernyataan pertanggungjawaban mutlak tentang keabsahan dokumen dari orangtua/wali calon siswa baru bermeterai rp 6.000. surat pernyataan tanggung jawab mutlak umkm adalah surat pernyataan pelaku usaha mikro yang dibuat atau ditandatangani oleh calon penerima bpum untuk mendapatkan bantuan langsung tunai (blt umkm) sebesar rp2,4 juta dari pemerintah. surat pernyataan tanggungjawab mutlak surat pernyataan tanggungjawab mutlak saya yang bertanda tangan di bawah ini :

Semoga file contoh sptjm tersebut bisa bermanfaat bagi anda yang membutuhkannya.

surat pernyataan tanggung jawab mutlak. Pembayaran pertama tanggal 7 juli sebesar 25%(dua puluh lima persen) dari contoh surat pertanggungjawaban mutlak surat pernyataan tanggung jawab mutlak. 0% menganggap dokumen ini tidak bermanfaat, tandai dokumen ini sebagai tidak bermanfaat. pertanggungjawaban administratif berupa spj dilampiri dengan: Petunjuk teknis bantuan bop taman pendidikan al qur'an 2020 pdf. Download contoh format surat pertanggungjawaban mutlak (sptjm) untuk pencairan dana bsm / pip tahun 2015 secara kolektif dengan klik pada links berikut (format word). contoh surat pertanggungjawaban mutlak sptjm untuk pencairan dana bsm pip dadang jsn. Matang hanau, 15 februaru 1977. contoh surat pernyataan orang tua siswa baru dan untuk kegiatan File ijazah di file ijazah.pdf Yang bertanda tangan di bawah ini : contoh kertas kerja perniagaan kedai runcit

Disini kami sediakan softcopy file sptjm untuk lembaga pendidikan al qur'an khususnya tpq. Download contoh format surat pertanggungjawaban mutlak sptjm untuk pencairan dana bsm pip tahun 2016 secara kolektif dengan klik pada links berikut format word silahkan sesuaikan dengan tanggal waktu pembuatan surat ini. Dengan ini menyatakan bahwa saya akan bertanggung jawab mutlak terhadap pelaksanaan kegiatan tersebut. Memastikan data yang diinput diaplikasi sudah sesuai dan benar sebelum melakukan finalisasi pendaftaran. Yang bertanda tangan dibawah ini :

Disini kami sediakan softcopy file sptjm untuk lembaga pendidikan al qur'an khususnya tpq. Format Surat Pernyataan Tanggung Jawab Mutlak Ijazah Sttb
Format Surat Pernyataan Tanggung Jawab Mutlak Ijazah Sttb from 3.bp.blogspot.com
surat pernyataan tanggungjawab mutlak mengenai kebenaran ijazah/sttb ini merupakan salah referensi yang baik dan benar sesuai harapan anda, bisa digunakan untuk administrasi sekolah, contoh format, microsoft word, surat menyurat dengan demikian file tersebut bisa memenuhi dan mengakhiri pencarian di google. contoh kertas kerja program ngo; Download contoh format surat pertanggungjawaban mutlak (sptjm) untuk pencairan dana bsm / pip tahun 2015 secara kolektif dengan klik pada links berikut (format word). Demikian contoh surat pernyataan tanggung jawab mutlak kepala sekolah tahun 2018 atau tahun pelajaran 2018/2019 yang dapat saya bagikan, semoga bermanfaat. Adapun surat tersebut adalah surat pernyataan tanggungjawab mutlak untuk penerima bantuan bop tpq, biasa disingkat dengan sptjm bop tpq. surat pernyataan tanggung jawab mutlak pada hari ini …….………, tanggal ……………….…….……., tahun. contoh surat pernyataan orang tua siswa baru dan untuk kegiatan Kali ini kami akan membagikan contoh format format sptjm pip / surat pertanggungjawaban mutlak dalam pencairan secara kolektif dana pip.

surat pernyataan tanggung jawab mutlak yang bertanda tangan di bawah ini:

Panduan pendaftaran ppdb dan surat pernyataan tanggung jawab mutlak. Adapun surat tersebut adalah surat pernyataan tanggungjawab mutlak untuk penerima bantuan bop tpq, biasa disingkat dengan sptjm bop tpq. contoh sptjm untuk pencairan pip kolektif. contoh format sptjm bsu, syarat mutlak agar blt guru honorer bisa cair, download di sini format surat pernyataan tanggung jawab mutlak/sptjm untuk pencairan blt guru honorer beserta link downloadnya. Simpan contoh surat pernyataan tanggungjawab mutlak 1 untuk nanti. contoh surat pertanggung jawaban mutlak (spjtm) pencairan dana secara kolektif pip. pertanggungjawaban administratif berupa spj dilampiri dengan: contoh surat pernyataan kebenaran dokumen. surat menyurat jumat, 27 februari 2015. Kartu keluarga, skl, piagam prestasi (bila ada), foto 3×4, spjtm, raport kls vii sm 1, sm2, raport kls viii sm 1, sm2, raport kls ix sm 1. Download desman zebua contoh cara mengisi sptjm kebenaran data format 1046 x 1600 pixel. Download contoh surat pernyataan tanggung jawab mutlak sptjm atau format 711 x 496 pixel. contoh kertas kerja perniagaan kedai runcit

Contoh Surat Pertanggungjawaban Mutlak - Contoh Surat Pernyataan Tanggung Jawab Mutlak Untuk Ppdb 2019 Sidapodikdas / Download contoh format surat pertanggungjawaban mutlak sptjm untuk pencairan dana bsm pip tahun 2016 secara kolektif dengan klik pada links berikut format word silahkan sesuaikan dengan tanggal waktu pembuatan surat ini.. surat pernyataan tanggung jawab mutlak (sptjm) sebelum menjawab pertanyaan tersebut, kami akan menjelaskan lebih dahulu tentang surat pernyataan tanggung jawab mutlak ("sptjm"). Bagi kamu, yang sedang mencari contoh surat tanggung jawab mutlak ini, admin siapin deh dibawah. Download contoh format surat pertanggungjawaban mutlak sptjm untuk pencairan dana bsm pip tahun 2015 secara kolektif dengan klik pada links berikut format word. 0% menganggap dokumen ini tidak bermanfaat, tandai dokumen ini sebagai tidak bermanfaat. contoh surat pernyataan kebenaran dokumen.

Posting Komentar untuk "Contoh Surat Pertanggungjawaban Mutlak - Contoh Surat Pernyataan Tanggung Jawab Mutlak Untuk Ppdb 2019 Sidapodikdas / Download contoh format surat pertanggungjawaban mutlak sptjm untuk pencairan dana bsm pip tahun 2016 secara kolektif dengan klik pada links berikut format word silahkan sesuaikan dengan tanggal waktu pembuatan surat ini."